Revista de la Facultad de Agronomía (LUZ) 1(1):37-58
Teniendo en cuenta la amplitud del tema, los tópicos aquí tratados no pretender ser exhaustivos y reflejan, en parte, las preferencias del autor.
Para ordenar la exposición, el trabajo se divide en los siguientes puntos: 1) Técnicas utilizadas en el estudio de productos naturales vegetales; 2) Estudio de moléculas aisladas de plantas sanas; 3) Estudio de moléculas aisladas de plantas enfermas, 4) Estudio de moléculas aisladas de hongos, levaduras o bacterias. Los puntos 1, 3 y 4 serán considerados muy brevemente, mientras que el punto 2 será presentado con más detalles y constituye la base del trabajo.
Las técnicas que se emplean actualmente en la elucidación de estructuras de productos de origen vegetal son las mismas usadas frecuentemente en la moderna investigación en Química Orgánica, a saber: Resonancia magnética nuclear (NMR), resonancia del spin electrónico (ESR), dispersión óptica rotatoria (ORD), difracción de rayos X, espectro de mesas, IR y UV, cromatografía y, en algunos casos, microscopia electrónica. En las próximas páginas se verá el uso de estas técnicas en el estudio de problemas específicos.
CELULOSA.
Los aspectos estereoquímicos de las moléculas de celulosa, la longitud de sus enlaces interatómicos y el ordenamiento de las cadenas moleculares dentro del cristal han sido extensamente estudiados por análisis de difracción de rayos X (1). La estructura deducida de la aplicación de esta técnica y de ideas ya conocidas se presenta en la Figura 1. Según Hermans (2), la molécula de celulosa presenta a lo largo de la cadena un arreglo en zigzag de residuos sucesivos de glucosa (Fig. la). Esto permite un arreglo casi plano, con los planos de los anillos de glucosa formando ángulos de unos 10º con respecto al plano horizontal. Además, el arreglo en zigzag coloca el grupo hidroxilo sobre el carbono-3 tan cerca del oxígeno de la glucosa vecina que se forman enlaces de hidrógeno. Así se origina un anillo adicional que contribuye a impedir la rotación mutua de los residuos de glucosa contiguos. Si las moléculas de celulosa cristalizan en un arregló antiparalelo, las distancias de la red se pueden calcular usando diagramas de rayos X. Un diagrama de una celda elemental se presenta en la (Fig. 1b); la dirección de las cadenas coincide con el eje-b, las dimensiones de la celda elemental son 8.35 A x 10.3 A x 7.9 A, y los planos de los anillos de glucosa están orientados paralelamente al plano (002). Este plano no es, sin embargo, el que corresponde a la superficie de los "cristales" encontrados en fibras elementales. Según Schurz (3), las regiones cristalinas de la celulosa están orientadas con el plano (101) tangencial a la superficie de la celda (Fig. 1c). Esta posición está causada por los hidroxilos que se acumulan en este plano. La adición de moléculas de celulosa durante la cristalización debe proceder también en la dirección del plano (101) ya que los hidroxilos libres se pueden unir a las moléculas vecinas por enlaces de hidrógeno. Como una cadena de celulosa ocupa un área de 31 A2, una fibra elemental, con una sección de 35 A x 35 A, contiene unas 40 moléculas (Fig. 1c). La misma estructura reticular se ha encontrado tanto en fibras tales como celulosa de ramio, algodón y madera, como en las paredes celulares de Valonia, un alga marina.
LIGNINA.
Aunque muchas propiedades, métodos de aislamiento y reacciones químicas de la lignina han sido estudiadas a través de los años, el progreso en la elucidación de su estructura ha sido lento. Una de las razones ha sido que nunca se ha podido aislar lignina sin que haya sufrido algún cambio; sin embargo, en años recientes, el uso de la técnica de molienda vibratoria seguida de la extracción o remoción de los carbohidratos por digestión con enzimas celulolíticas, ha producido ligninas con un mínimo de alteración.
La idea de que la lignina es un polímero del alcohol coniferílico, el cual se origina a partir del glucósido coniferina, presente en la savia de las coníferas, fue sugerida por Klason a principios de siglo. Erdtman, en la década del 1930, propuso que la lignina también podría ser producida por deshidrogenación de ciertos compuestos fenólicos. Fue Freudenberg, en 1943, quien reunió estos dos conceptos y ha continuado trabajando según esas líneas. El mecanismo de deshidrogenación se representa en la Figura 2. La participación del radical (d) ha sido un descubrimiento reciente. Lundquist (4) y Nimz (5), trabajando independientemente, han encontrado compuestos sin cadenas laterales en el carbono-3 en productos obtenidos por degradación suave de la lignina. Se ha postulado que, después de aparearse, los anillos alicíclicos revierten al estado aromático por expulsión de su cadena lateral.
Figura 1. Esquema de la molécula de celulosa y de la red cristalina en la celda unidad y en la fibra elemental: (a) La conformación de cadena en zigzag mostrando los enlaces de hidrogeno intramoleculares (b)Celda unidad de celulosa . el arreglo de cadena antiparalela se usa para obtener enlaces de hidrogeno donde intervienen enlaces de hidrogeno intermoleculares a lo largo de los principales planos cristalograficos (c) Corte de una fibra elemental cristalina mostrando el arreglo de las cadenas de celulosa
Figura 2. Formas de radical libre del alcohol coniferílico.
Figura 3. Alcoholes p- hidroxicinamílicos II y III
Estudiando la lignina de aserrín de abeto, la cual se considera muy parecida a la protolignina, Adler (6) encontró una fórmula de C9H8.83O2.37 (OCH3 )0.96 y un peso molecular de aproximadamente 8000. Esta cifra corresponde a más de 40 unidades de fenilpropano.
Freudenberg (7), más recientemente, encontró que el alcohol coniferílico podía polimerizarse oxidativamente al ser tratado con laccasa o peroxidasa, produciendo una lignina sintética muy similar en sus propiedades químicas y ópticas a la ligadura de aserrín de abeto. El peso molecular de esta lignina fue el guayacilglicerol-b -coniferil éter. La repetición de esta subunidad podría originar un polímero y, desde luego, un trimero de este tipo fue obtenido por Freudenberg y Tausend en 1963. Sin embargo, la formación de lignina se considera una policondensación compleja donde intervienen al azar muchos tipos de enlaces. Se sabe que varias ligaduras contienen, además del anillo de guayacilo tal como se encuentra en el alcohol coniferílico (I), los correspondientes grupos di-metoxilado (especialmente en maderas duras) y no-metoxilado (especialmente en plantas anuales). Estos grupos son presumiblemente introducidos por co-polimerización en forma de los correspondientes alcoholes p-hidroxicinamílicos II y III (Figura 3). En la Figura 4 se ilustran algunos de los tipos de enlace C-C y C-O encontrados en la lignina. Puede decirse que la estructura de la lignina está comenzando a ser elucidada. En el aspecto bioquímico se está haciendo énfasis en el estudio de los mecanismos de control de las reacciones enzimáticas del proceso de lignificación.
TERPENOIDES
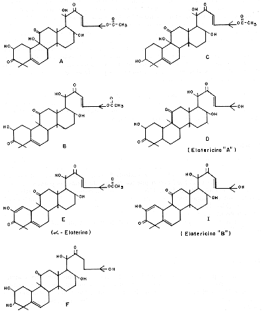
Cucurbitacinas
Catorce principios amargos cristalinos terpenoides, han sido aislados de las Cucurbitaceae. Hasta 1961 se creyó que sus estructuras contenían un esqueleto triterpenoide tetracíclico (8), pero reinvestigación del problema con NMR ha conducido a las estructuras correctas (9, 10). En la Figura 5 se presentan las estructuras de las cucurbitacinas A, B, C, D, E, F e I.
Carotenos
Han habido recientemente mejoras sustanciales en los métodos de aislamiento y caracterización de carotenoides (11). El uso extensivo de IR y NMR ha resultado en el establecimiento, o confirmación, de las estructuras de varios carotenoides cuyas estructuras eran previamente inciertas, incorrectas o desconocidas. Weedon (12) y Liaaen-Jensen y Jensen (13) han presentado los avances recientes en la química de los carotenoides. Pero, al igual que con otros compuestos naturales, los estudios en este campo han estado dirigidos últimamente hacia la investigación de los procesos biosintéticos.
Figura 4. “Estructura de la Lignina” esta “estructura” no representa una molecula real de lignina, sino que intenta mostrar los diferentes modos que se cree existen para unir las unidades monomeras en las ligninas de las coniferas. tambien intenta mostrar la frecuencia relativa de los diferentes enlaces carbono-carbono y tipo eter. los grupos que no estan unidos a la estructura son variaciones.
En este sentido, se viene acumulando evidencia que soporta la conclusión de que las reacciones de biosíntesis de carotenoides y esteroles son idénticas en los pasos que van desde acetato hasta pirofosfato de farnesilo. La evidencia también indica que los esteroles se sintetizan fuera y los carotenoides dentro de los cloroplastos (14). Por contraste, el escualeno (y presumiblemente los esteroles) y los carotenos se sintetizan en el cromoplasto del fruto del tomate (15). No se sabe si las reacciones que van de acetato a pirofosfato de isopentenilo también tienen lugar en los cromoplastos de tomate. Tampoco existen estudios sobre la conversión de acetato a ácido mevalónico en algunas preparaciones de plantas. Existe evidencia de que el pirofosfato de geranilgeranilo es el precursor de 20 carbonos de los carotenoides y de que fitoeno es el primer compuesto de 40 carbonos. Se sabe muy poco sobre el mecanismo químico de formación de fitoeno, y la información sobre la conversión de fitoeno en licopeno es fragmentaria. Varias reacciones enzimáticas esperan demostración. Se ha probado que la formación de a - y b -caroteno tiene lugar por reacciones de ciclización independientes en lugar de por isomerización de a -caroteno a b -caroteno. Se ha determinado el origen del oxígeno en la formación de las xantofilas y la conversión enzimática de anteraxantina a zeaxantina. Pero han habido pocos estudios enzimáticos sobre la inverconversión de los carotenoides oxigenados. El esclarecimiento de las rutas biosintéticas de los carotenoides podría arrojar luz sobre cuales son sus funciones en la célula.
La referencia 16 contiene varios capítulos dedicados a la aplicación de las modernas técnicas analíticas, en particular NMR, al estudio de estructuras de carotenoides de origen vegetal y un tratamiento excelente del análisis conformacional de terpenoides vegetales.
Caucho
Es interesante señalar el estudio de la biosíntesis del caucho realizado con látex de Hevea brasiliensis, donde el sistema enzimático responsable por la biosíntesis es soluble. El acetato-C14 es incorporado al caucho por el látex de Hevea (17) así como por los tejidos de todas las plantas cauchíferas estudiadas, 19 en total (18). El ácido mevalónico (MVA) (19) y el pirofosfato de isopentenilo (IpPP) también son incorporados al caucho por el látex (20). Las enzimas necesarias para la conversión de MVA en MVAfosfato están presentes en el látex de Hevea (17), así como las necesarias para las reacciones que van de MVA-fosfato a MVA-pirofosfato y de éste a IpPP (21).
Plastoquinona
La plastoquinina es un derivado de la benzoquinona con una cadena lateral isoprenoide que ha sido descubierto recientemente en cloroplastos. Su función en el proceso fotosintético no es bien conocida; parece ser que hay varios lugares a lo largo del proceso en los cuales las son funcionales (22).

Figura 5. estructura de varias cucurbitacinas
ALCALOIDES.
En la investigación de alcaloides continúa algún trabajo de aislamiento y determinación de estructuras. Así por ejemplo, la determinación de la estereoquímica de los numerosos centros asimétricos de los alcaloides de varias especies de plantas de Veratrum, Schoenocaulon y Zygadenus (alcaloides del Veratrum) fue realizada en 1959-60 por Kupchan y sus colaboradores (23). Recientemente, Nakano (24) ha aislado once nuevos alcaloides de las fracciones básicas fuertes en dos especies: Buxus microphylla Sieb. et Zucc. var. suffruticosa Makino y B. microphylla Sieb. et Zucc. var. suffruticosa Makino forma major Makino. El mismo Nakano aisló anteriormente diez alcaloides de las fracciones básicas débiles de la primera especie y otro alcaloide de la fracción básica fuerte de la segunda especie. El también elucidó las estructuras de estos once nuevos alcaloides usando espectros IR, UV, espectros de mesas y NMR.
Pero, aunque se continúan descubriendo nuevos alcaloides en plantas, es el estudio de su biosíntesis el tema de investigación de más actualidad. A diferencia de los terpenos y esteroides, que proceden de un precursor universal sencillo y que, por consiguiente, presentan unidad en su proceso biosintético, la biosíntesis de los alcaloides presenta una mayor diversidad inherente. En una reciente revisión de la literatura (25) se discuten la mayor parte de las reacciones que intervienen en la formación de los alcaloides. Se ha sugerido que los alcaloides se forman por reacciones no-enzimáticas, sin embargo, ésto es improbable ya que la mayoría de los alcaloides son ópticamente activos. Podría suceder que algunos pasos en la formación de un alcaloide ocurrieran sin necesidad de enzimas, pero las reacciones claves son casi ciertamente controladas por enzimas. Se conocen actualmente unos 4000 alcaloides, por lo que la tarea de aislar y caracterizar todas las enzimas implicadas y de esclarecer las rutas biosintéticas individuales es una tarea al presente casi imposible. Sobre la investigación en alcoloides se vienen publicando una serie de volúmenes, el último de los cuales ha aparecido recientemente (26).
CICLITOLES.
Los inositoles (hexahidrociclohexanos) han sido bastante estudiados últimamente. La bioquímica de los ciclohexanos y -hexenos con menos de seis OH no ha sido explorada y lo mismo sucede con los ciclitoles cuyos anillos tienen un número de átomos de carbono distinto de seis.
Cuatro de los 9 inositoles estereoisoméricamente posibles ocurren en plantas: mio-inositol (también llamado meso-inositol), D-inositol [ (+)-inositol ], L-inositol [ (-)-inositol ] y scyllo-inositol (scyllitol). Eteres mono y di-metílicos de inositol también se encuentran en plantas. Las fórmulas estéricas y las configuraciones absolutas de los ciclitoles, a excepción del O-metil-muco-inositol, han venido esclareciéndose durante los últimos años. Usando técnicas cromatográficas, Plouvier (27) ha estudiado los inositoles y sus éteres metílicos en diversas especies vegetales.
Esteres indolacéticos de mio-inositol. Labarca, Nicholls y Bandurski (28) han aislado dos indolacetil-mio-inositoles y dos arabinósidos de indolacetilmio-inositol de semillas de maíz (Zea mays). Actualmente se trabaja en la caracterización estructural de estos compuestos y en sus actividades fisiológicas.
Glicósidos de ciclítoles. El único glicósido de ciclitol encontrado en vegetales ha sido galactinol, D-1-O- a - galactopiranosil-mio-inositol. Se ha aislado de remolacha, pero las enzimas que catalizan su biosíntesis se han encontrado también en guisantes. Una búsqueda sistemática de glicósidos de ciclitol podría ser de utilidad. Los glicósidos pueden ser intermediarios en la biosíntesis de materiales más complejos. Su presencia en plantas podría facilitar la solución de varios problemas bioquímicos en relación con los ciclitoles.
Fosfolípidos de inositoL Dos tipos de fosfolípidos conteniendo mio-inositol, el fosfatidil inositol (I) y los fitoglicolipidos, han sido caracterizados en materiales vegetales (Figura 6).
El fosfatidil inositol (I) se ha encontrado en todas las especies que se han estudiado, tanto en tejidos somáticos como en semillas. La estructura del fitoglicolípido aislado de maíz, soya, lino y otras semillas se presenta en la Figura 6 (II). El fitoglicolípido es una mezcla de compuestos que difieren en el radical de cadena larga y en el número de residuos de azúcar en la porción de oligosacárido (29). En los componentes más simples, el oligosacárido es un "trisacárido" de glucosamina, ácido glucorónico y mio-inositol, unidos en este orden (II). Los miembros siguientes de la serie tienen la misma estructura, poseyendo además un residuo de manosa y los miembros superiores se forman por adición de unidades de galactosa, arabinosa y, a veces, fucosa. La fórmula (III), Figura 6, presenta lo que se sabia en 1965 sobre como estaban unidos los azúcares adicionales.
ROTENOIDES NATURALES.
Aunque la estructura de la rotenona fue establecida en 1932, su configuración no fue completamente determinada hasta 1960. Büchi et al. (30) y Crombie y Godin (31) establecieron la estereoquímica absoluta de la rotenona y de algunos compuestos relacionados.
GLICOSIDOS FLAVONOIDES.
Recientemente (32) se han aislado once glicósidos flavonoides y dos antocianinas de los pétalos de la flor de Okra, Hibiscus esculentus L. Sus estructuras fueron asignadas en base a evidencias cromatográficas, espectrales y degradativas.
LACTONAS DE SESQUITERPENOS.
El análisis de las lactonas de sesquiterpenos en los géneros Ambrosia, Partbenium, Iva y otros ha sido empleado para estudiar las relaciones evolucionarias entre dichos géneros (33).
Figura 6. Lípidos con inositol encontrados en plantas
BILIPROTEINAS.
Las biliproteínas son cromoproteínas encontradas en muchas variedades de algas. Están formadas de un grupo cromóforo tetrapirrólico, asociado a una proteína. Actúan como pigmento fotosintético secundario, contribuyendo a aumentar la eficiencia de la colección de luz. La energía absorbida por estos pigmentos es transferida a la clorofila. En base a propiedades espectrales se acostumbra a hacer dos grupos: ficocianinas y ficoeritrinas.
Estudio de relaciones fitogenéticas en algas
Las biliproteínas se encuentran en plantas cuyas células carecen de membrana nuclear (procariotes) como las Cianofíceas, en plantas cuyas células poseen membrana nuclear (eucariotes) como las Rodofíceas y aún en organismos flagelados como las Criptomonadas. Las biliproteínas son un indicador excelente para estudiar las relaciones fitogenéticas en algas. La técnica immunoquímica, que es de una gran sensibilidad, es la más adecuada para estos fines (34).
La ficocianobilina es el cromóforo de las ficocianinas (biliproteínas azules). En base a espectros de absorción ha sido generalmente aceptado que la ficocianina C, el pigmento azul de las Cianofíceas y de ciertas Rodofíceas, es la misma cualquiera que sea la especie de alga (35). Sin embargo, investigaciones recientes empleando análisis de aminoácidos, dispersión óptica rotatoria e immunoquímica, han indicado que la proteína de la ficocianina C varía de una especie a otra. Estudios fisico-químicos han demostrado que la proteína de la ficocianina C es un agregado de varias subunidades (34). La morfología de las subunidades ha sido establecida y parece ser que la existencia de unidades hexaméricas es particularmente útil para producir una concentración eficiente de la energía luminosa y su transferencia a la clorofila.
La ficocianina C es la principal biliproteína de las Cianofíceas y, por consiguiente, la ficocianobilina es su principal pigmento. En los miembros más primitivos (Bangioficidae) de las Rodoficeas (eucariotes primitivos) la ficocianina C es todavía la principal biliproteína (36). La otra biliproteína es la ficoeritrina B (cromóforos: ficoeritrobilina y ficourobilina, éste último en pequeñas cantidades) y, ocasionalmente, la ficocianina R (cromóforos: ficoeritrobilina y ficocianobilina). En las Rodofíceas más avanzadas, la ficocianina C es un componente menor, la ficoeritrina R (cromóforos: ficoeritrobilina y posiblemente ficourobilina) es la principal biliproteína y existen, a veces, cantidades menores de ficocianina R. La ficocianobilina es, por consiguiente, más abundante en las Cianofíceas y menos abundante en las Rodofíceas superiores. Lo contrario sucede con ficoeritrobilina. La ficourobilina está ausente en las Cianofíceas, es una bilina menor en las Bangiofíceas y es más abundante en las Florideoficeas.
Si se acepta la tesis de que las Rodefíceas evolucionaron de las Cianofíceas o de algún tronco ancestral común, es interesante especular que tal evolución ha conducido a una disminución gradual de la ficocianobilina (un bilitrieno) y a la aparición de ficoeritrobilina (un bilidieno) y, posiblemente, de ficourobilina en las especies más avanzadas (37).
Fitocromo
Otra biliproteína importante que ha sido muy estudiada recientemente es el fitocromo. El fitocromo es presumiblemente el fotoreceptor reversible en la zona del rojo lejano en los procesos de fotoperiodismo y fotomorfogénesis en plantas. El fitocromo fue primeramente observado con instrumentos desarrollados para medir la calidad de frutas y huevos mediante la detección no-destructiva de los cambios internos de color (espectrofotometría de material con luz densa dispersa). El trabajo fisiológico había indicado que el pigmento buscado debería mostrar cambios de absorbancia fotoreversibles con máximos y mínimos en los picos de activación y reversión fotomorfogénica (esto es, en el rojo, 650 a 680 nm., y en el rojo lejano, 710 a 740 nm.). El instrumento adecuado los detectó rápidamente en varios tejidos. Este es el único ensayo que existe para fitocromo. Los tejidos con cantidades sustanciales de clorofila no solamente son opacos a los rayos medidores, sino que pueden fluorescer con ellos, por lo que no pueden ensayarse intactos; solamente en extractos donde se haya separado el fitocromo de la clorofila se puede aplicar el ensayo. En general, la magnitud de los cambios reversibles de absorbancia inducidos en un determinado grosor de tejido o extracto por la luz roja y roja lejana, es un estimado de la cantidad de fitocromo.
Con este método de ensayo está claro al presente que el fitocromo-ésto es, los cambios fotoreversibles de absorción-es una propiedad de una biliproteína azul-verde muy soluble en condiciones alcalinas, la cual contiene como cromóforo uno o más grupos de un bilitrieno estrechamente relacionado con los cromóforos de los pigmentos de algas, tales como ficocianina y aloficocianina (38). La preparación proteica ha sido purificada 750 veces y por filtración a través de gel y ultracentrifugación del material obtenido (de avena) se ha determinado un peso molecular de 60,000 (38). Tratamiento de una preparación diferente (de centeno) con dodecil-sulfato de sodio produjo aparentemente monómeros con un peso molecular de 36,000 (39). La más reciente investigación en fitocromos está dirigida hacia el estudio de su distribución en plantas, su localización en tejidos y órganos vegetales y, finalmente, su localización en la célula (38).
COMPUESTOS AROMATICOS.
A1 igual que con muchos productos de origen vegetal, la investigación de compuestos aromáticos durante los últimos años ha estado dirigida hacia el estudio de su biosíntesis. Los aspectos enzimáticos que han recibido mayor atención comprenden:
1.- Se han encontrado dos enzimas consideradas responsables de la formación de derivados de ácido cinámico a partir de aminoácidos: a) Fenilalanina desaminasa (40) y b) Tirasa (41).
2.- En el estudio de reacciones de hidroxilación se ha descubierto una polifenoloxidasa que actúa sobre el ácido p-cumaroilquínico para dar ácido clorogénico (42).
3.- Se han encontrado y caracterizado enzimas que catalizan la formación de glicosidos fenólicos (43, 44, 45).
4.- Se han descrito enzimas que intervienen en el proceso de transmetilación durante la formación de compuestos aromáticos metilados (46, 47)
5.- Se ha realizado un estudio de los ésteres que abundan en tejidos vegetales (48).
CITOCROMOS c
Recientemente se han cristalizado y caracterizado muchos tipos de citocromo c aislados de algas rojas, verdes y pardas (49). Este estudio permite seguir la ruta de la naturaleza del citocromo fotosintético desde el tipo c de las al gas al tipo f de las plantas superiores.
Mitsui cristalizó citocromo C522 de Euglena, pero sus intentos para encontrar histidina en el péptido que contiene el grupo hemo de Euglena C522 o Porphyra C553 fracasaron.
Los citocromos de Chlorobium C653 y Chromatium C552 se han obtenido unidos a flavina. La posibilidad de que Chromatium C552 contenga dos grupos hemo estrechamente inter-relacionados se desprende del coeficiente de extinción relativamente bajo para su complejo con CO y de los datos de dicroismo circular, los cuales indican que la proximidad entre los dos grupos hemo es tal que puede existir interacción entre sus sistemas electrónicos.
FITOALEXINAS.
Las fitoalexinas vegetales son el equivalente de las immunoglobulinas animales, con una diferencia, las fitoalexinas son compuestos de bajo peso molecular (fito = planta; alexin = compuesto que evita un ataque). Para que un compuesto sea considerado una fitoalexina debe: a) ser producido por una planta o tejido vegetal viviente como resultado de inoculación con un microorganismo no-patogénico; b) ser producido en concentración lo bastante alta como para inhibir el crecimiento del microorganismo; c) no ser detectable en plantas sin inocular.
A continuación se presentan algunos ejemplos:
En 1950 Gaumann y sus colaboradores reportaron un compuesto antifungoso producido por tejidos de bulbo de orquídea al ser inoculados con Rhizoctonia repens (50). Posteriormente, en 1957, Boller, trabajando con Gaumann y otros, aisló y purificó este compuesto al que llamó "orchinol" (51). La fórmula empírica encontrada por este grupo fue C16Hl6O6, pero la estructura del compuesto no ha sido determinada todavía.
Condon y Kuc, investigando tejidos radiculares de zanahoria inoculados con Ceratocystis fimbriata, aislaron un compuesto antifungoso que ellos identificaron como 3-metil-6-metoxi-8-hidroxi-3,4-dihidroisocumarina ( 52 ).
Müller, quien postuló la teoría de las fitoalexinas cuando trabajaba en tubérculos de papa infectados con Phytophtora infestans demostró la producción de un compuesto antifungoso en vainas de caraotas que habían sido inoculadas con .Sclerotinia fructicola y Phytophtora infestans (53). Como él no purificó el compuesto no se conoce su fórmula. El trabajo de Müller con S. fructicola condujo directamente al aislamiento de pisatina por Cruickshank y Perrin en vainas de guisante inoculadas con el mismo hongo (54). Ellos identificaron la pisatina como 3-hidroxi-7-metoxi-4 ;5-metilenedioxicromanocumarano.
CITOKININAS.
Las citokininas son sustancias sintéticas y naturales que se asemejan a la kinetina, en que inducen la división celular en ciertos tejidos vegetales cortados. Junto con las auxinas y giberelinas, estos compuestos parecen jugar papeles importantes en la regulación de la división celular, alargamiento c elular, diferenciación y organogénesis de plantas en desarrollo.
Bioensayos:
Los procedimientos de ensayo son de importancia básica en los intentos para aislar citokininas naturales. Los fracasos en el trabajo de aislamiento se atribuyen parcialmente a los bioensayos comúnmente usados, los cuales son largos y tediosos. El tiempo requerido para los ensayos conocidos y su sensibilidad y especificidad se exponen en la Tabla 1 (55). Los ensayos (a) hasta (f), aunque rápidos, son bastante insensibles y no son confiables cuando se usan extractos vegetales crudos que contienen probablemente sustancias que interfieren (Ver Tabla). El ensayo (g), retardo en la senescencia de la hoja de cebada, es rápido, sensible y no está afectado por la presencia de ácido indol-3-acético, adenina, ácido giberélico, azúcares u otros constituyentes comunes en extractos vegetales. Este ensayo parece más adecuado que los (a) hasta (f) para ensayos rápidos de extractos crudos. El ensayo es, sin embargo, realizado en condiciones no-estériles. Puesto que los extractos crudos promueven grandemente el crecimiento microbiano, los resultados obtenidos con tales extractos pueden no ser confiables. Los ensayos (a), (b), (e) y (f) están también expuestos a esta misma crítica. Los bioensayos (a) hasta (g), con la posible excepción de (d), son, sin embargo, de gran valor para ensayar compuestos puros o factores considerablemente purificados.
Los bioensayos de cultivo de tejidos, desde (h) hasta (k), son por el momento los métodos más adecuados para ensayar extractos vegetales crudos. La principal desventaja del ensayo del callo de médula de tabaco es la falta de una relación lineal entre la respuesta y la concentración en un rango amplio de concentraciones. El ensayo del callo de soya exhibe esta relación sobre un amplio rango, siendo probablemente el mejor ensayo de cultivo de tejidos. Un inconveniente de estos ensayos es el mantenimiento de cultivos adecuados de tejido de callo para suministrar las plántulas para el ensayo. Cuando se requieren muchos ensayos, y con urgencia, el ensayo (k), con tejido de raíz de zanahoria, es claramente el más conveniente. Las zanahorias pueden almacenarse a 4°C cuando no sea su época y de una zanahoria se pueden cortar unos mil explantes uniformes. Aunque el tiempo sugerido para el ensayo es de 21 días, se puede con frecuencia obtener una indicación de actividad en 7 a 9 días de cultivo.
TABLA N 1 Sensibilidad y especificidad de varios bioensayos para citokininas
Bioensayo |
Duración del ensa- yo días |
Mínima conc. detectable de kinetina m g/l |
Rango de conc. de kinetina en el que existe una relación lineal con la respuesta m /l |
Sustancias diferentes a citokininas que son activas en el ensayo |
| (a) Disco de hoja de rábano. |
0.8 |
10 |
10-1000 |
adenina |
| (b) Disco de ho ja de caraotas blanqueadas. |
2 |
200 |
desconocido |
giberelinas, Co++ |
| (c) Lemna minor (crecimiento en la oscuridad) |
2 |
60 |
60400 |
*adenosina, Co++ |
| (d) Germinación de semillas de lechuga. |
2 |
desconocido pero menor de 1000 |
desconocido . |
giberelinas, tiurea, urea, ciertos derivados de urea |
| (e) Sección del tallo de guisantes blanqueados. |
1 |
10-10000 |
sacarosa, benzimidazol |
|
| (f) Senescencia de hojas de Xanthium |
2 |
100 |
100-10000 |
benzimidazol, azúcares, adenina adenosina, (a guanosina (a |
| (g) Senescencia de hojas de cebada. |
2 |
3 |
3-3000 |
sales inorgánicas (a altas concentraciones) |
| (h) Callo de la médula del tallo e tabaco |
35 |
1 |
1-15 |
ácido giberélico (a |
| (i) Médula del tallo de tabaco |
21 |
40 |
desconocido |
nada (b |
| (j) Callo de soya |
21 |
1-4 |
4-10000 |
nada (b |
| (k) Tejido de raíz de zanahoria |
21 |
1 |
1-100 |
giberelinas (c |
(a La actividad de estas sustancias es baja comparada con la actividad de las citokininas.
(b La actividad de las giberelinas parece que no se ha determinado para este ensayo.
(c El ácido giberélico no parece estimular el crecimiento en este ensayo, pero otras giberelinas producen ligeros incrementos en el crecimiento.
Hace falta un bioensayo rápido y sensible que pueda aplicarse con confianza a extractos crudos. Varias propiedades biológicas de las citokininas podrían ser la base de tal ensayo. La capacidad para dirigir el transporte en hojas despegadas (56) y para indicar el crecimiento de cultivos de Clostridium thermocellum en un medio conteniendo celulosa (57) son dos propiedades que quizá merezcan investigarse.
De las citokininas, solamente la aislada de semillas de Zea mays, zeatina, ha sido cristalizada y se le ha determinado su estructura. Es una 6- (hidroxi3-metilbut-trans-2-enil)-aminopurina. La zeatina es una citokinina muy activa y esta elevada actividad está evidentemente asociada a la presencia en la cadena lateral de un grupo hidroxilo alílico, el cual podría ser muy reactivo (55). Otras dos citokininas, derivados de la zeatina, han sido aisladas de maíz. Una es cromatográfica y espectroscópicamente indistinguible de 9- b -D-ribofuranosilzeatina sintética y por degradación da un compuesto con las propiedades de la zeatina, mientras que la otra ha sido identificada tentativamente como 9- ,3 -D-ribofuranosilzeatina-5-fosfato. Un derivado de adenina con propiedades de citokinina, posiblemente un N6 -(aminoacil)-adenina (55), también se ha aislado de maíz.
Se han realizado estudios cromatográficos de citokininas obtenidas de agua de coco, manzanas, guisantes y caraotas. Algunos de estos compuestos parecen ser derivados de nicotinamida.
La biosíntesis de las citokininas no ha sido investigada y queda mucho por hacer en cuanto a la identificación de citokininas naturales. El mecanismo de acción de las citokininas sobre el proceso de crecimiento vegetal ha atraído poca atención. El ataque de estos tres problemas revelara indudablemente nuevos conceptos en relación con la bioquímica y biología molecular de las purinas, y aumentará el conocimiento de la regulación hormonal del crecimiento vegetal.
AMINOACIDOS NO-PROTEICOS.
Algunos de los aminoácidos no-proteícos son característicos de ciertas familias de plantas o de una sola especie dentro de una familia. Otros se encuentran distribuidos al azar en unas pocas familias no relacionadas. Se espera que los aminoácidos no-proteícos puedan servir como herramienta para la clasificación taxonómica de plantas. Actualmente muy pocas familias del reino vegetal han sido estudiadas sistemáticamente. Poco se sabe de la función de los aminoácidos no-proteícos en las plantas; algunos son intermediarios en la síntesis y degradación de aminoácidos proteicos; otros se cree que sirvan para almacenar y transportar el nitrógeno en la planta. La similitud estructural de muchos aminoácidos no-proteícos con aminoácidos proteícos sugiere un posible rol de los primeros en el control del metabolismo de aminoácidos. Muchos de estos aminoácidos no tienen una función conocida, pero pueden ser productos secundarios del metabolismo del nitrógeno (59).
PROTEINAS CON HIERRO NO-HEMINICO.
Más investigación es necesaria para determinar la presencia, propiedades y papel metabólico de las proteínas con hierro no-hemínico en los tejidos vegetales que carecen de clorofila (58).
TOXINAS
La invasión de una planta por un hongo o una bacteria inicia usualmente una secuencia de acontecimientos que muy a menudo son característicos del patógeno invasor. Entre las posibles causas de los síntomas que se presentan está la producción de una toxina por el patógeno invasor. Algunos ejemplos de estudio reciente se exponen a continuación.
La fórmula estructural de licomarasmina, un pequeño péptido que produce síntomas (10-4 a 10-5 M) de marchitamiento en tomate y que fue aislado de Fusarium y Verticillium sp., fue determinada en 1963 (60).
Una segunda toxina, vasinfuscarina, ha sido reportada (61), pero se ha hecho poco trabajo en ella. Es una proteína y, probablemente, una enzima.
La "enfermedad del millo" en sorgo (un tipo de marchitamiento) está causada por el hongo Periconia circinata, el cual produce una potente toxina, que ha sido aislada y purificada (62). La toxina, que es activa a concentraciones de 0.1 m g/ml, es un polipéptido y da cinco manchas con ninhidrina después de hidrólisis ácida.
NUEVOS ANTIBIOTICOS (63)
He aquí una lista de antibióticos de reciente descubrimiento:
(1) Monensina, un antibiótico acídico de elevada actividad anticoccidial. Su química ha sido trabajada y la estructura propuesta (en base a análisis de rayos X y degradaciones químicas) muestra que se trata de una nueva familia de antibióticos conteniendo anillos de pirano unidos.
(2) Tenemicina, un nuevo miembro del grupo de la neomicina.
(3) Halomicina, un producto de Micromonospora sp., activo contra bacterias gram-positivas.
(4) N-demetilestreptomicina, un análogo de la estreptomicina preparado por inhibición de la metilación en la fermentación donde se produce estreptomicina.
(5) LL-AB644, un nuevo antibiótico similar a la estreptomicina.
(6) U-12241, un antibiótico de Streptomyces bellus var. cirolerosus var. nova altamente citotóxico.
PRINCIPIOS VENENOSOS DE SETAS.
Los hongos del género Amanita contienen numerosas sustancias biológicamente activas. La muscarina, que excita el sistema nervioso parasimpático ha sido aislada de Amanita muscaria y su estructura química ha sido establecida por investigadores suizos, en particular. Presumiblemente la muscarina no es el principio venenoso de A. muscaria. El hongo agárico Amanita phalloides de color verde, mortal, y sus familiares de color blanco contienen dos grupos de ciclopéptidos con azufre. Las estructuras de estos ciclopéptidos letales, "phallotoxinas" y "amatoxinas", han sido determinadas. Entre los aminoácidos raros que ellos contienen se encuentran la leucina e isoleucina hidroxiladas en las posiciones g y d . Las phallotoxinas actúan sobre el retículo endoplásmico de las células del higado, mientras que el núcleo es el blanco de la acción citopatogénica de las amatoxinas.
Un excelente articulo de T. Wieland (64) describe los distintos aspectos químicos y biológicos de estos compuestos.
KUPCHAN, S. M., ibid., 81, 1921 (1959).
KUPCHAN, S. M., ibid., 81, 1925 (1959).
KUPCHAN, S. M., JOHNSON, W.S., y RAJAGOPALAN, S., Tetrahedron 7, 47 (1959).
KUPCHAN, S. M., AYRES, C.I., NEEMAN, M., HENSLER, R. H., MASAMUNE, T., y RAJAGO
PALAN, S., J. Am.,. Chem. Soc., 82, 2242 (1960).
KUPCHAN, S. M. y AYRES, C.I., ibid., 82, 2252 (1960).
KUPCHAN, S. M., AYRES, C.I. y HENSLER,, R.H. ibid., 82, 2616 (1960).